Главная >> Алгебра 9 класс. Макарычев

§ 4. Корень n-й степени

Корень n-й степени

Напомним, что квадратным корнем из числа а называется такое число, квадрат которого равен a. Аналогично определяется корень любой натуральной степени n.

Корнем n-й степени из числа а называется такое число, n-я степень которого равна а.

Например, корнем пятой степени из 32 является число 2, так как 25 = 32; корнем четвертой степени из 81 является каждое из чисел 3 и -3, так как 34 = 81 и (-3)4 = 81. Корень второй степени принято называть квадратным корнем, а корень третьей степени — кубическим корнем.

Рассмотрим степенную функцию у = хn с нечетным показателем n (рис. 41). Для любого числа а существует единственное значение х, n-я степень которого равна а. Это значение является корнем n-й степени из а. Для записи корня нечетной степени n из числа а используют обозначение (читают: «Корень n-й степени из а»). Число n называют показателем корня, выражение, стоящее под знаком корня, — подкоренным выражением.

Приведем примеры.

Запись означает кубический корень из 125. Из определения корня следует, что так как 53 = 125. Запись означает корень седьмой степени из -128. Так как -128 = (-2)7, то

Рассмотрим теперь степенную функцию у = хn с четным показателем n (рис. 42). При любом а > 0 существуют два противоположных значения х, n-я степень которых равна а. При а = 0 такое число одно (число 0), при а < 0 таких чисел нет. Другими словами, если n — четное число и а > 0, то существует два корня n-й степени из а. Эти корни являются противоположными числами. Если а = 0, то корень n-й степени из а равен нулю. Если а < 0 и n — четное число, то корня n-й степени из а не существует.

Например, запись означает неотрицательный корень шестой степени из 64. Имеем так как 2 — неотрицательное число и 26 = 64.

Если n = 2, то показатель корня не пишется.

Итак,

если n— нечетное число, то выражение имеет смысл при любом а;

если n — четное число, то выражение имеет смысл лишь при а ≥ 0.

Из определения корня n-й степени следует, что при всех значениях а, при которых выражение имеет смысл, верно равенство

Выражение при а ≥ 0 имеет смысл как при четном, так и при нечетном n, и значение этого выражения является неотрицательным числом. Его называют арифметическим корнем n-й степени из а.

Определение. Арифметическим корнем n-й степени из неотрицательного числа а называется неотрицательное число, n-я степень которого равна а.

Корень нечетной степени из отрицательного числа можно выразить через арифметический корень. Например, так как

Вообще при любом нечетном л и положительном а верно равенство

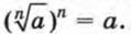
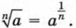
Вы знаете, что для нахождения с помощью калькулятора приближенного значения квадратного корня используется специальная клавиша Для корней n-й степени, где n >2, подобных клавиш нет. При нахождении корня n-й степени из положительного числа а используется принятое в математике представление выражения , где а > 0, в виде степени числа а с дробным показателем. По определению, если а > 0 и n — натуральное число, большее 1, считают, что

Корень n-й степени из положительного числа находят с помощью калькулятора, используя клавиши и первая из которых обозначает степень, а вторая — число, обратное х.

Программа вычисления корня n-й степени из положительного числа а выглядит так:

Например, чтобы найти надо выполнить такую последовательность действий:

В результате получим, что

Для того чтобы найти с помощью калькулятора значение выражения с точностью до 0,01, найдем сначала

Округляя результат до 0,01, получим, что Отсюда находим, что

Продолжение >>>

 

 

???????@Mail.ru