Главная >> Алгебра 9 класс. Макарычев

§ 4. Корень n-й степени

Корень n-й степени (окончание)

172. Вычислите:

173. При каких значениях а верно равенство:

174. На рисунке 44 изображен график функции

Найдите, используя этот график:

175. Пользуясь калькулятором, найдите с точностью до 0,1:

176. Найдите с точностью до 0,01 значение выражения, пользуясь калькулятором:

Повторение

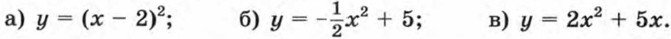
177. Постройте график функции:

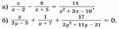
178. Решите уравнение:

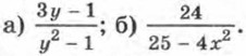
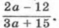
179. Упростите выражение

Контрольные вопросы

1. Какую функцию называют степенной функцией с натуральным показателем?

2. Сформулируйте свойства степенной функции с четным показателем. Покажите схематически, как выглядит график этой функции.

3. Сформулируйте свойства степенной функции с нечетным показателем n. Покажите схематически, как выглядит график этой функции при n > 1.

4. Дайте определение корня n-й степени.

Ответы

    156.

    160. д) 1,5;   е) 1,5.

    161. б) 11;   г) -3.

    168. д) 0;   е) 10.

    171. в) 12;   г) -64.

    172. в) 48; г) -54.

    178. а) 1;   б) -2.

    179.

<<< К началу

 

 

???????@Mail.ru