Главная >> Алгебра 9 класс. Макарычев

§ 4. Корень n-й степени

Корень n-й степени (продолжение)

Упражнения

158. Докажите, что:

    а) число есть арифметический корень четвертой степени из
    б) число 3 есть арифметический кубический корень из 27;
    в) число -2 не является арифметическим корнем четвертой степени из 16;
    г) число 0,1 не является арифметическим корнем пятой степени из 0,0001.

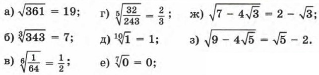
159. Докажите, что верно равенство:

160. Найдите значение выражения:

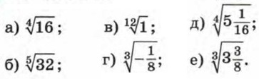
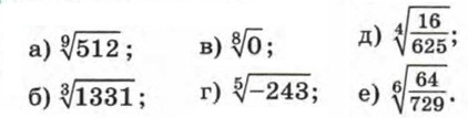
161. Вычислите:

162. На рисунке 43 дан график функции у = х3. С помощью этого графика найдите:

163. Используя график функции у = х4 (см. рис. 40), найдите:

164. Принадлежит ли графику функции точка E(81; 3)? F(81; -3)? K(-16; -2)? L(0,0001; 0,1)?

165. Принадлежит ли графику функции точка А(8; 2)? В(216; 6)? С(27; -3)? D(-125; -5)?

166. Укажите два последовательных целых числа, между которыми заключено число:

167. Имеет ли смысл выражение:

168. Найдите значение выражения:

169. Выразите корень n-й степени из отрицательного числа через арифметический корень той же степени:

170. Вычислите:

171. Найдите значение выражения:

<<< К началу          Окончание >>>

 

 

???????@Mail.ru