Главная >> Задачник по физике 11 класс. Генденштейн

§ 33. Радиоактивность

Ответы к § 33: Радиоактивность

    4.

    5. α-частицу.

    6.

    7. Пять α-распадов и три β-распада.

    8. 86 протонов и 136 нейтронов.

    9. 89 протонов и 139 нейтронов.

    10. 10 и 10.

    11. 8 и 6.

    12. В 81 раз.

    13. 200 с.

    14. 7,2 ч; 12 ч; 693 сут.

    15. За 80 суток.

    16. 99,2 %.

    17. 270 суток.

    18. 3 ч.

    19. Через 1 ч.

    20. 1 ч.

    21. 44 мин.

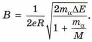
    22.

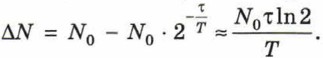
    23. 1,8 • 1010. Указание. Число распадающихся за время радиоактивных атомов В образце руды одновременно идут два процесса: распад урана, увеличивающий число атомов тория, и распад образовавшихся атомов тория. В результате число атомов тория остаётся практически неизменным. Приравняв количество распадов урана и тория, происшедших за одно и то же время, получаем: Поскольку находим:

<<< К началу

 

 

???????@Mail.ru