Главная >> Задачник по физике 11 класс. Генденштейн

Глава 9. Атомное ядро и элементарные частицы

§ 34. Ядерные реакции и энергия связи ядер

    БАЗОВЫЙ УРОВЕНЬ

1. Какая частица образуется в результате реакции

2. В Дубне был синтезирован новый элемент. В качестве бомбардирующих частиц применялись ионы неона, а в качестве мишени использовался плутоний. Уравнение ядерной реакции имеет вид где буквой X обозначен новый элемент. Укажите порядковый номер этого элемента в таблице Менделеева.

3. При бомбардировке ядер алюминия нейтронами образуются α-частица и изотоп неизвестного элемента X. Определите массовое число этого изотопа.

4. Ядро бериллия поглотив ядро дейтерия, превращается в ядро бора Какая при этом образуется частица?

5. Каким будет второй продукт ядерной реакции?

    Каким будет второй продукт ядерной реакции?

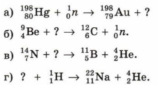
6. Допишите уравнения ядерных реакций.

    уравнения ядерных реакций

7. Какая энергия выделится при термоядерной реакции Дефект масс реакции 0,01851 а. е. м.

    ПОВЫШЕННЫЙ УРОВЕНЬ

8. Пользуясь справочными таблицами, найдите дефект массы ядра:

    а) азота

    б) лития

    в) гелия

    г) алюминия

9. Чему равна энергия связи:

    а) ядра кремния

    б) ядра углерода

Окончание >>>

 

 

???????@Mail.ru