Главная >> Физика. 10 класс. Часть 2. Генденштейн

§ 41. Абсолютная температура и средняя кинетическая энергия молекул

Основное уравнение молекулярно-кинетической теории (продолжение)

Отсюда следует, что Подставляя это выражение в формулу (1), получаем другую форму записи основного уравнения молекулярно-кинетической теории идеального газа:

Значение основного уравнения молекулярно-кинетической теории идеального газа состоит в том, что оно выражает макроскопический параметр (давление газа) через микроскопические параметры — концентрацию молекул, массу молекулы и средний квадрат скорости или среднюю кинетическую энергию молекул.

Вывод основного уравнения

План наших действий таков.

  • Найдём число ударов молекул о стенку сосуда за короткий промежуток времени Δt.
  • Найдём импульс, передаваемый стенке одной молекулой при ударе.
  • Найдём импульс, передаваемый стенке молекулами за промежуток времени Δt.
  • Найдём силу давления, используя второй закон Ньютона в импульсной форме.
  • Найдём давление.
Направим ось х перпендикулярно стенке сосуда, давление на которую мы рассматриваем. Её площадь обозначим S. Предположим сначала для простоты, что у всех молекул одинаковое по модулю значение проекции скорости на ось х.

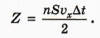
Сколько молекул ударятся о стенку за короткий промежуток времени Δt? За этот промежуток времени молекулы пролетают по направлению к стенке или от неё расстояние, равное υxΔt (рис. 41.2). Следовательно, успеет долететь до стенки и удариться о нее половина молекул, находящихся у стенки в слое толщиной υxΔt (см. рис. 41.2).

    Рис. 41.2

Почему только половина? Потому, что со стенкой столкнутся только молекулы, у которых проекция скорости υx положительна — они движутся к стенке. А к стенке и от стенки летит примерно равное число молекул.

1. Докажите, что в объёме слоя толщиной υxΔt и площадью S находится nSυxΔt молекул, а число Z ударов молекул о стенку за время Δt выражается формулой

<<< К началу          Окончание >>>

 

 

???????@Mail.ru