Главная >> Физика. 10 класс. Часть 2. Генденштейн

§ 41. Абсолютная температура и средняя кинетическая энергия молекул

Основное уравнение молекулярно-кинетической теории (окончание)

Какой импульс передаёт стенке при ударе одна молекула? Перед ударом проекция скорости молекулы равна υx, а после удара она равна -υx (молекула летит от стенки). Поэтому для модуля импульса, переданного стенке одной молекулой, получаем:

    2m0υx.

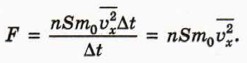
Чему равен импульс, переданный стенке молекулами за время Δt? Для ответа на этот вопрос надо просто умножить число Z ударов молекул на импульс, передаваемый одной молекулой. Мы получим:

В этой формуле мы учли, что на самом деле молекулы движутся с различными скоростями, поэтому в ней стоит среднее значение квадрата проекции скорости.

С какой силой газ давит на стенку? Согласно второму закону Ньютона, записанному в виде (см. § 25), сила давления газа равна отношению импульса, переданного стенке за время Δt, к этому промежутку времени. Следовательно,

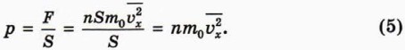
Чему равно давление газа на стенку? По определению, давление р равно силе давления F, делённой на площадь поверхности S, на которую действует эта сила. Следовательно,

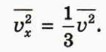
По теореме Пифагора (в трёхмерном пространстве) квадрат модуля скорости равен сумме квадратов проекций скорости:

Учтём, что все направления скоростей молекул равновероятны. Поскольку молекул очень много и их движение хаотично, то средние значения квадратов проекций скорости молекул на оси координат х, у и z равны:

Выполнив усреднение (см. формулу (2)), получим:

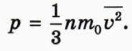
Из формул (6) и (7) следует, что

Подставляя это выражение в формулу (5), получаем:

Это и есть основное уравнение молекулярно-кинетической теории идеального газа.

<<< К началу

 

 

???????@Mail.ru