Главная >> Колебания и волны. Физика 11 класс. Мякишев

Глава 2. Электрические колебания

2.14. Примеры решения задач на тему: Электрические колебания

Задача 4

К магистрали переменного тока с напряжением U = 120 В (U — действующее значение напряжения) через катушку (дроссель) с индуктивностью L = 0,05 Гн и активным сопротивлением R = 1 Ом подключена осветительная сеть квартиры (рис. 2.34, а). Каково напряжение U1 на входе в квартиру, если сила потребляемого тока I = 2 А? Частота тока стандартная (ν = 50 Гц). Индуктивностью и емкостью электрической цепи квартиры пренебречь.

Решение. Дроссель и осветительная сеть квартиры подключены к магистрали последовательно, поэтому сила тока одинакова на всех участках цепи. Напряжение U1 и напряжение UR на активном сопротивлении дросселя совпадают по фазе с силой тока I. Напряжение UL на индуктивном сопротивлении дросселя опережает силу тока по фазе на π/2. Следовательно, векторная диаграмма для действующих значений напряжений и силы тока имеет вид, изображенный на рисунке 2.34, б.

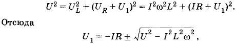
По теореме Пифагора

где ω = 2πν. Так как действующее значение напряжения всегда положительно, то

Задача 5

В цепи (рис. 2.35) параметры R, L и С известны. Напряжение между точками А и В равно U. Постройте векторную диаграмму сил токов в данной цепи и определите силу тока в неразветвленном участке цепи. Найдите сдвиг фаз между колебаниями силы тока и напряжения. При каком условии сила тока в неразветвленном участке цепи окажется минимальной? Чему равен сдвиг фаз между силой тока и напряжением в этом случае?

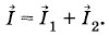
Решение. В этой задаче рассматривается электрическая цепь, состоящая из двух ветвей, соединенных параллельно. Одна ветвь содержит резистор и катушку индуктивности, другая — конденсатор.

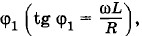
Построение векторной диаграммы начнем с вектора действующего значения напряжения , поскольку напряжение одинаково для обеих ветвей цепи. Направим вектор горизонтально вправо (рис. 2.36). Сила тока i является суммой сил токов i1 и i2 (см. рис. 2.35). Колебания силы тока i1 отстают по фазе от колебаний напряжения на угол так как верхний участок цепи содержит катушку индуктивности.

Поэтому вектор 1 повернут относительно вектора на угол φ1 в отрицательную сторону (по часовой стрелке). Сила тока i2, текущего через конденсатор, опережает по фазе напряжение на π/2. Соответствующий вектор 2 повернут относительно вектора на угол π/2 в положительную сторону (против часовой стрелки). Его модуль I2 = ωCU. Действующее значение силы тока в неразветвленной части цепи находится с помощью векторной диаграммы (см. рис. 2.36):

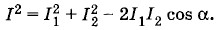
Пользуясь теоремой косинусов, из векторной диаграммы определяем

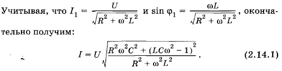
Так как то cos α = sin φ1 и

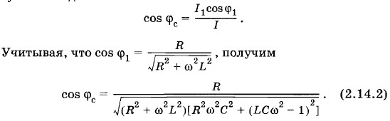
Как видно из векторной диаграммы (см. рис. 2.36), вектор силы тока образует с вектором напряжения угол φc. Из рисунка находим

Из выражения (2.14.1) вытекает, что сила тока в неразветвленном участке цепи минимальна, если LCω2 - 1 = 0, т. е. если Но — это циклическая частота собственных колебаний контура, входящего в состав данной цепи. В этом случае говорят, что в цепи наступил резонанс токов.

При резонансе токов, как следует из формулы (2.14.2),

Это значит, что при резонансе токов при малом активном сопротивлении сдвиг фаз между силой тока и напряжением равен нулю (рис. 2.37). Важно обратить внимание на то, что при резонансе сила тока I в неразветвленной части цепи меньше силы тока I1 в ветви, содержащей последовательно соединенные резистор сопротивлением R и катушку индуктивностью L, а также меньше силы тока I2 в ветви с конденсатором емкостью С.

Задача 6

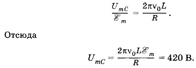
В колебательный контур (см. рис. 2.20) включен источник переменной ЭДС е = m cos ωt, причем амплитуда m = 2 В. Определите амплитуду напряжения на конденсаторе при резонансе. Резонансная частота контура ν0 = 105 Гц, индуктивность катушки L = 1 мГн и ее активное сопротивление R = 3 Ом.

Решение. При резонансе амплитуда напряжения на конденсаторе, равная амплитуде напряжения на катушке UmL (UmC = UmL), больше амплитуды напряжения на зажимах цепи Um в отношении Если пренебречь внутренним сопротивлением источника переменной ЭДС, то Um = m. Тогда

<<< К началу параграфа

 

 

???????@Mail.ru