Главная >> Домашние работы к учебнику Макарычева. Алгебра 7 класс

Решенния упражнений

Вычисление значений функции по формуле

267. у = 2х + 7: при х=1 ⇒ у = 2х + 7 = 2 + 7 —9; при х = -20 ⇒ у = 2х + 7 = 2 • (-20) + 7 = -40 + 7 = -33; при х = 43 ⇒ у = 2х + 7 = 2 • 43+ 7 = -86 + 7 = 93.

268. у = 0,1x + 5: при х = 10 ⇒ у = 0,1х + 5 = 0,1 × 10 + 5 = 1 + 5 = 6; при х = 50 ⇒ у = 0,1х + 5 = 0,1 • 50 + 5 = 5 + 5 = 10; при х = 120 ⇒ у = 0, 1х + 5 = 0,1 • 120 + 5 = 12 + 5 = 17.

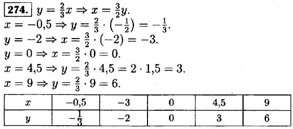
272. а) у = x2 + 8, х — любое число; б) х ≠ 7 — так как знаменатель обращается в 0; в) х ≠ -3 — так как знаменатель обращается в 0; г) х — любое число.

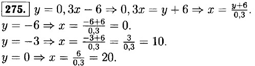
273. у = -5х + 6.

    у = 6 ⇒ б = -5х + 6 ⇒ -5х = 0 ⇒ х = 0.

    у = 8 ⇒ 8 = —-5х + 6 ⇒ -5х = 2 ⇒ х = -0,4.

    у = 100 ⇒ 100 = -5х + 6 ⇒ -5х = 94 ⇒ х = -18,8.

276. m — масса куска пробки, V — объём куска пробки, m = 0,18V: а) V — 240 см3.; m — 0,18V = 43,2 г; б) m = 64,8 г;

277. S = 6υ: a) υ = 65 км/ч; S = 6 • 65 = 390 км;

б) S = 363 км;

278. s = 60 - 12t: a) t = 3,5; s = 60 - 12 • 3,5 = 60 - 42 = 18; 6) 5 = 30; 30 = 60 - 12t ⇒ 12t = 30 ⇒ t = 2,5.

279. у = 80 - 10x ⇒ 0 = 80 - 10x ⇒ x = 8.

Область определения x ∈ {0; 1; 2; 3; 4; 5; 6; 7; 8}.

280. Пусть шестиклассники собрали x книг, тогда семиклассники собрали 1,1а; книг. Значит х + 1,1x = 315 ⇒ 2,1х = 315 ⇒ х = 150 ⇒ 1,1х = 165. Ответ: 165 книг собрали семиклассники.

<<< К началу

 

 

???????@Mail.ru